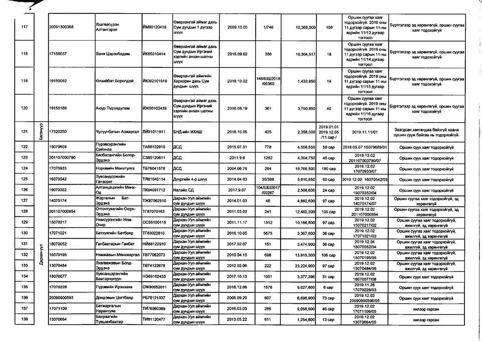
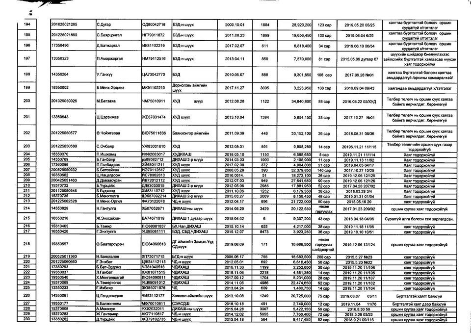
Хүүхдийн тэтгэмжээ төлөхгүй ЭРЭН СУРВАЛЖЛАГДАЖ байгаа 233 иргэний нэрийг зарлалаа
2019 оны 12 сарын 11

Монголын эмэгтэйчүүдийн холбооноос Шүүхийн шийдвэр гүйцэтгэх ерөнхий газартай хамтран хүүхдийн тэтгэмжээ төлөхгүй эрэн сурвалжлагдаж байгаа 233 эцэг, эхийн нэрийг олон нийтэд зарлалаа. Тэд эхний ээлжинд эрэн сурвалжлагдаж буй иргэний нэрсийг зарлаж байгаа бөгөөд цаашид ШШГЕГ-тай хамтран Зөрчлийн тухай хууль болоод Шүүхийн шийдвэр гүйцэтгэх тухай хуулиудад тэтгэмжээ төлөхгүй эцэг эхийн хариуцлагын талаар нэмэлт өөрчлөлт оруулахаар ажиллаж байгаа аж.
Хүүхдийн тэтгэлэгээ төлөөгүй эрэн сурвалжлагдаж буй эцэг, эхийн нэрс:











Мэдээнд өгөх таны үнэлгээ?

2

2

1
611465
5 эможи
Зочин
2019-12-11 23:43
ARSLAN.mn сайтад сэтгэгдэл оруулахад анхаарах зүйлс
